Informatics Point

Информатика и проектирование

Расчет коммуникационной сети предприятия

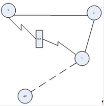
Задана коммуникационная сеть, состоящая из 4 узлов. Сеть задана в виде графа (рисунок 3.1).

В данном курсовом проекте в качестве источников сигналов (служб) могут использоваться:

передача файлов(FTP);

IР-телефония(IP);

телефония(IP-АТС).

В таблице 3.1 приведены службы всех узлов и количество абонентов, пользующихся услугами той или иной службы.

Рисунок 3.1 - Граф сети

Таблица 3.1 - Распределение абонентов по службам.

Узел

FTP

IP

IPАТС

Ц.О.

135

67

68

1

14

7

7

2

40

20

20

3

81

41

40

Лучшие статьи по информатике

Проектирование систем электроснабжения промышленных предприятий на примере маслохозяйственного отделения ПП Ефремовская ТЭЦ
Основными потребителями электроэнергии являются различные отрасли промышленности: транспорт, сельское хозяйство, коммунальное хозяйство городов и поселков. ...

Модернизация схемы блока управления для привода Fm-Stepdrive фирмы siemens с целью расширения функциональных возможностей
История развития бытовой и промышленной микропроцессорной аппаратуры тесно связана с развитием средств ЭВТ. За время своего развития средства ЭВТ прошли ...

Расчет основных характеристик усилительного каскада биполярного транзистора
транзистор усилитель каскад Целью данной курсовой работы по предмету “Схемотехника телекоммуникационных устройств” является применение знаний полученных ...

Меню сайта