Informatics Point

Информатика и проектирование

Пример расчета ЭМС сотовых систем связи

Частоты приемника МС CDMA и передатчика МС EGSM примерно равны:МС CDMA= 881,25 ≈ fМС EGSM = 889,6 МГц.

Значит, уменьшение уровня мощности мешающего сигнала на гармониках отсутствует.

Частоты приемника БС EGSM и передатчика БС CDMA примерно равны:БС CDMA= 881,25 ≈ fБС EGSM = 889,6 МГц.

Значит, уменьшение уровня мощности мешающего сигнала на гармониках отсутствует.

. Потери в фидерах:

Для передатчика БС CDMA: 3 дБ.

Для передатчика МС EGSM: 0 дБ.

. Усиление антенн:

КУ секторной антенны передатчика БС CDMA: GБС CDMA = 14 дБ.

КУ антенны передатчика МС EGSM: GМС EGSM = 0 дБ;

. Уменьшение уровня мощности для частот передатчика, лежащих вне рабочей полосы частот.

Уровень внеполосного излучения БС CDMA при отстройке от несущей на 2 МГц и более: менее -44 дБ;

Уровень внеполосного излучения МС EGSM при отстройке от несущей на 0,5 МГц и более: менее -60 дБ;

. Уменьшение коэффициента усиления антенны передатчика в направлении рецептора.

Секторная антенна БС CDMA должна обеспечивать примерно одинаковое усиление во всех направлениях, в т.ч. и направлении на БС EGSM. Следовательно, уменьшение КУ антенны БС CDMA принимаем равное 0 дБ.

Антенна МС является всенаправленной, поэтому уменьшение КУ антенны МС EGSM принимаем равным 0 дБ.

. Итоговые данные по уровню эффективно передаваемой мощности с помощью расчета параметров передатчиков, полученные результаты сводятся в таблицу. Для нахождения результата необходимо сложить все строки таблицы[4].

Табл. 4.1 - Расчет уровня эффективной передаваемой мощности

Потери энергии на трассе распространения радиоволн

, 9. Медианные и дифракционные потери.

Для трассы БС CDMA - БС EGSM.

Определим потери на трассе распространения по формулам Хаты:= h2 = 30м - высоты антенн БС.= min(h1, h2) = 30 м, Hb = max(h1, h2) = 30 м.

Для r ≥ 0,1 км, городская застройка, f = 881,25 МГц:

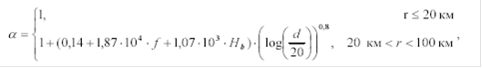
т.к. берем расстояние между БС меньше 20 км, то α = 1;

= 69,6+26,2 log(881,25) - 13,82log(30)+1· [44,9 - 6,55log(30)] ·log(r) - 31,6;= 69,6 + 77,2 - 20,4 + 35,2·log(r) - 31,6;= 94,8 + 35,2 log(rБС).

Где rБС - расстояние между базовыми станциями CDMA и EGSM, км.

Для трассы распространения МС EGSM - БС EGSM.

Определим потери на трассе распространения по формулам Хаты: Городская застройка, f = 889,6 МГц, h1=30 м - высота расположения антенны БС EGSM, h2=1 м - высота расположения антенны МС EGSM, rEGSM - расстояние между МС и БС системы EGSM.

= min(h1, h2) = 1 м, Hb = max(h1, h2) = 30 м.

В формулах Хаты рассматривается несколько случаев, в зависимости от расстояния rEGSM, в данной задаче целесообразно рассматривать только худший для ЭМС случай, когда rEGSM ≥ 0,1 км (большее расстояние - большие потери).

т.к. расстояние между МС и БС меньше 20 км, то α = 1;

= 69,6 + 26,2log(889,6) - 13,82log(30) + 1· [44,9 - 6,55log(30)] · logrEGSM + 1,3 - 0;= 69,6 + 77,3 - 20,41 + 35,2· logrEGSM + 1,3 = 127,8 + 35,2· logrEGSM.

Для трассы распространения БС CDMA - МС CDMA.

Определим потери на трассе распространения по формулам Хаты: Городская застройка, f = 881,25 МГц, h1=30 м - высота расположения антенны БС CDMA, h2=1 м - высота расположения антенны МС CDMA, rCDMA - расстояние между МС и БС системы CDMA.= min(h1, h2) = 1 м, Hb = max(h1, h2) = 30 м.

В формулах Хаты рассматривается несколько случаев, в зависимости от расстояния, но в данной задаче целесообразно рассматривать только худший для ЭМС случай, когда rEGSM ≥ 0,1 км.

Перейти на страницу: 1 2 3 4 5

Лучшие статьи по информатике

Технология спутникового и эфирного телевидения на основе предприятия ООО Антенн-Сервис
антенна сеть В связи с быстрым развитием технологий и научных открытий всё более актуальной становится проблема недостачности информации. Одним из средств пе ...

Приборы общего и специального назначения со встроенными микропроцессорами для измерения физических величин
Микропроцессорная техника получает все большее применение в приборостроении. Применение микропроцессоров (МП) преобразует измерительные приборы в «интеллект ...

Принципиальная схема усилителя на основе полевых и биполярных транзисторов
Аналоговыми называются устройства, у которых сигналы являются непрерывными функциями времени. К основным классам аналоговых устройств относятся: усилители, ...

Меню сайта